The nodes directly connected to the current node. Graph Degree is the Set Cardinality of this neighbourhood.
Definition
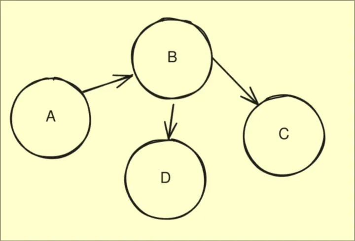
Directed Graph

Out Neighbourhood
The list of nodes that the current node links to
In this case for node B, it is: [C,D]
In Neighbourhood
The list of nodes that the current node is linked from
In this case for node B, it is: [A]
Self-Linking Node
For a self-linking node, it is included within its neighbourhood set. Both in out neighborhood and in neighborhood.