2x2 Process

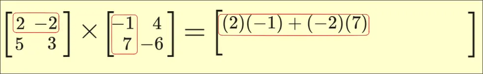
  1. To get the first item in this matrix. you need to take the Dot Product of vector 1’s first row and vector 2’s first column
  2. To get the second item in this matrix, dot product of vector 1’s 1st row and vector 2’s 2nd row
  3. 3rd item is first vector 2nd row dot product 2nd vector 1st column
  4. 4th element is 1st vector 2nd row Standard Dot Product 2nd vector 2nd column