When it asks you to prove, the division, you will have to use either, or both of these division statements to explain.

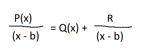
Division Statement

P(x) = divisor * quotient + remainder P(x) = (x-b) * Q(x) + R

Division Statement in Quotient form

Same as division statement, but we divide everything by our divisor. You dont need to write restrictions for quotient forms