Definition
- With
- Let
- Let
- Let
Proof by Metric Axioms
Proving
- Let
- Then, and
- Note that by ineq prop of
- Note that by ineq prop of
- Then, note that by ineq props
- So, this is defined for all
- Note that has a range of
- Thus,
Proving
- Let
- Then,
- Then,
- With L.S =
- Thus,
Proving
Proving
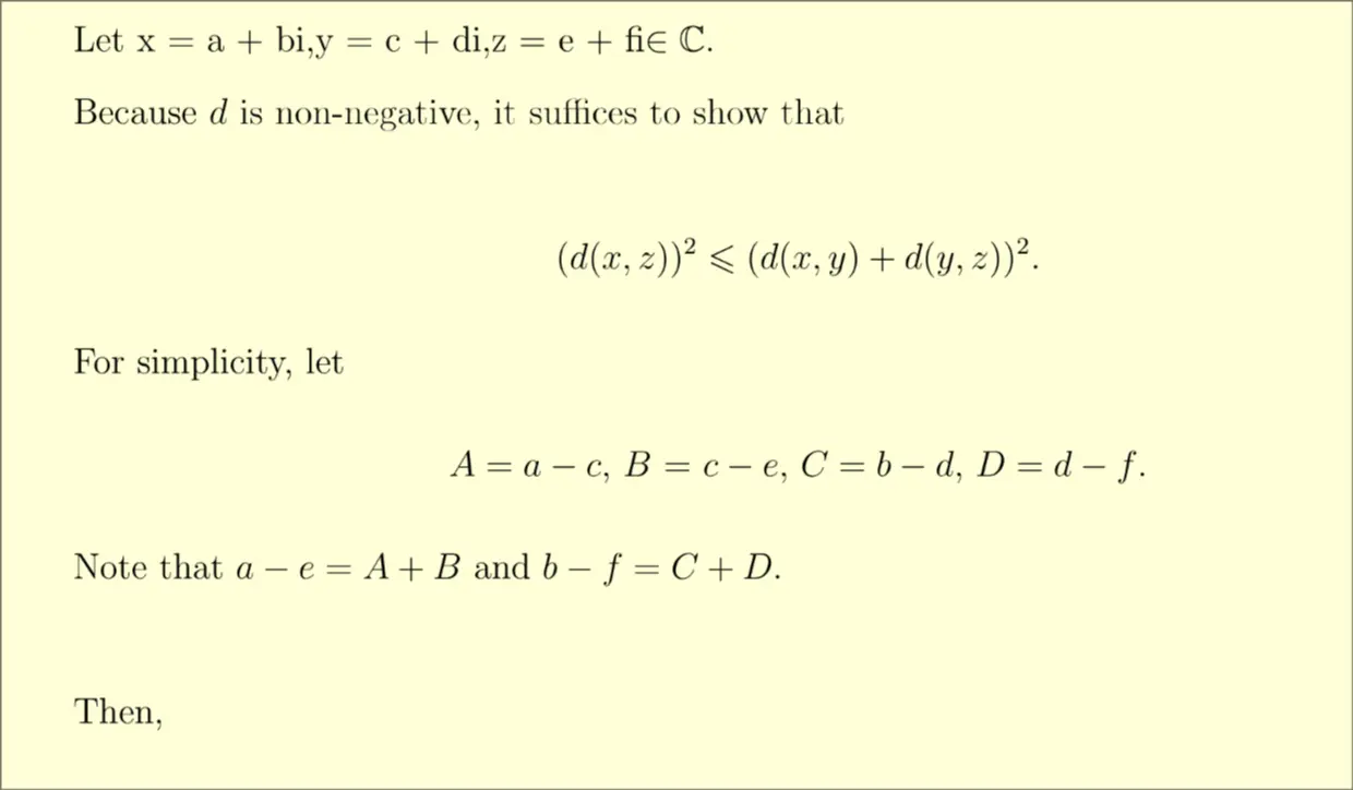
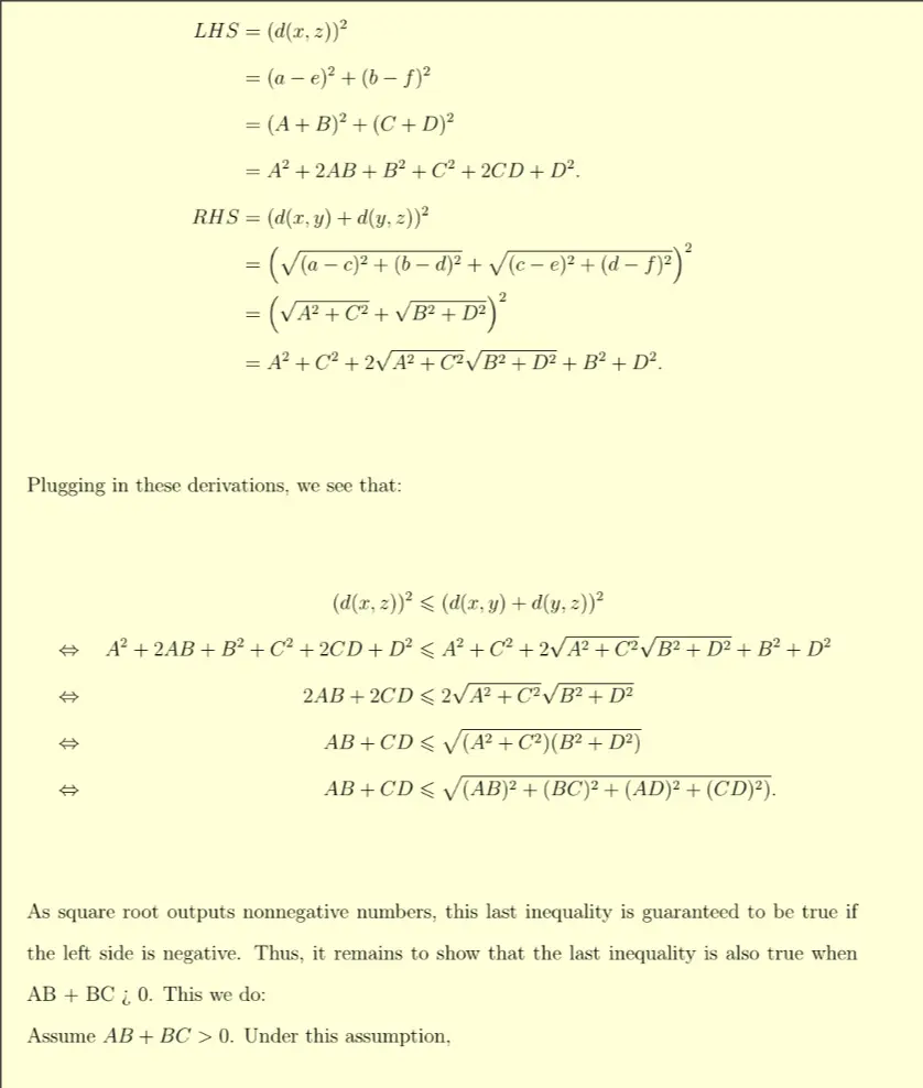
- Let
- Then,
- Then,
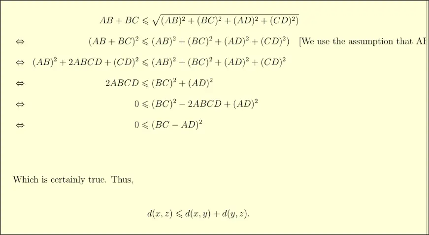
Proving
- Let s.t
- Then,
- Then,
- Suppose for sake of Contradiction that
- Then, either or
- Then, this means or
- This means or
- This implies that
- This implies
- This implies
- Contradicts that
- Thus, by contradiction
Proving

Proof from defintion of Norm
Note that our definition of a metric follows from the Absolute Function for Complex Numbers and Absolute Value Functions Induce a Metric Theorem so it follows that this is the correct metric