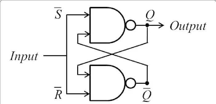
A SR Latch where:

  • Set = 0 Q = 1
  • Reset = 0 Q = 0 Preferred because Nand Gate are cheaper. Denoted as latch

Block Diagram

Circuit Diagram

Truth Table