A function is an antiderivative on an interval if for all in For example, position is the antiderivative of velocity.
Infinite Antiderivatives
If you want to find the antiderivative of a given , you can create infinite functions.
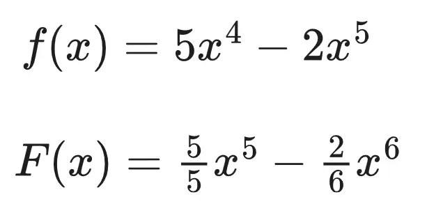
Example
could be
Process

- Increase power by 1 for each term
- New coefficients are old coefficients divided by new power
- Add constant
Particular Antiderivative Table
| General | |
|---|---|