When you are given 2 points A and B, you are able to find all points that are equidistant between the points.

- Find the plane that is the midpoint between the 2 points
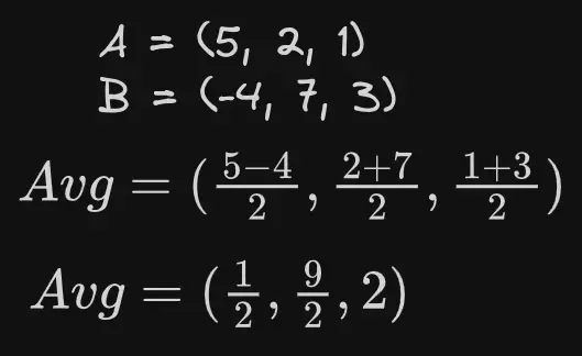
So just average each component of the 2 points.

- Find the vector AB

- Solve for ādā

- Final equation is:
