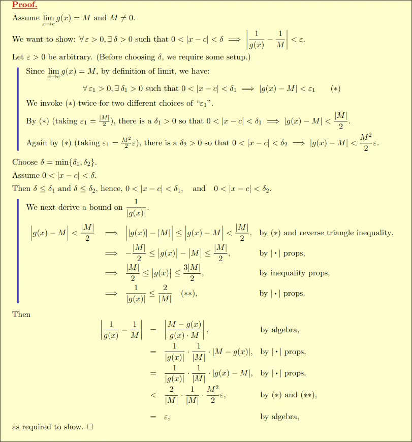
Reciprocal Rule Let M,c∈R and g is defined at an Punctured Interval. If limx→cg(x)=M then limx→cg(x)1=M1 provided M=0. Proof