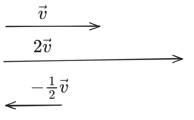
Vector Scalar Multiplication

For a vector the scalar value is Direction does not change unless the k value is negative, in which case it flips to the other direction

Vector Scalar Multiplication Properties

Distributive Law for Vectors

Associative Law for Scalars

Distributive Law for Scalars