Used primarily for evaluating limits in Trigonometric Functions, or any function that inherently has an upper & lower bound
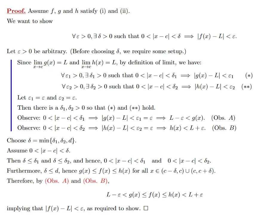
Theorem
Let and suppose there exists so that , and are on a punctured interval at . if:
Proof

Tips
- If there is sine or cosine in the initial WTS, then you can use the innate range of them as boundings. For example, get and then work from there to get real function you wanted to prove was less than