To find the linear equation of the tangent line of a given point from a given function.
Example
Drawing 2024-02-10 11.24.44.excalidraw
Problem

Solution
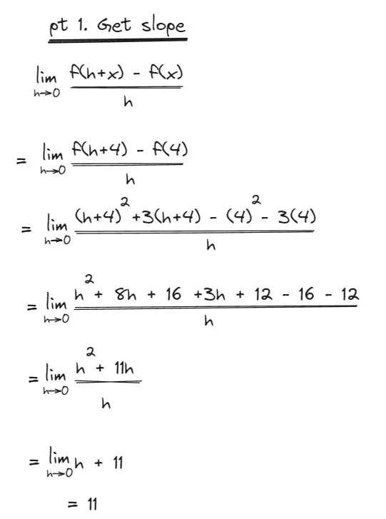
Use Difference Quotient to find slope
To get y-intercept, ensure that the equation of tangent hits the same coordinate as it was on the original equation

Tangent Equation Given only point & Slope
Given:
- f(x)
- fâ(x)
- point equation of tangent line =