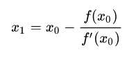
Rational root does not always work to find the roots of an equation. What you need instead is newton’s method. Its very very time consuming, more time consuming that rational root. It works 99% of time, but you need to pick values.

The method

x = x intercept of tangent x = any real number